國家中醫藥管理局綜合司關于國家中醫優勢??平ㄔO擬入選項目名單的公示
按照工作流程,經省級推薦、形式審查、客觀指標評審、同行評議,并經國家中醫藥管理局局長會審議通過,現將國家中醫優勢??平ㄔO擬入選項目名單予以公示。公示時間為2024年4月17日至4月23日。
公示期間,如有意見,可以通過電話、信函等形式向我局醫政司反映(信函以到達日郵戳為準)。反映情況要客觀真實,以單位名義反映情況的材料需加蓋單位公章,以個人名義反映情況的材料要署本人真實姓名并提供聯系方式。
聯系電話:010-59957760 59957797
傳真:010-59957684
地址:北京市東城區工體西路1號
郵編:100027
附件1:國家中醫優勢??平ㄔO單位公示名單
附件2:國家中醫優勢??婆嘤龁挝还久麊?/p>
國家中醫藥管理局綜合司
2024年4月16日
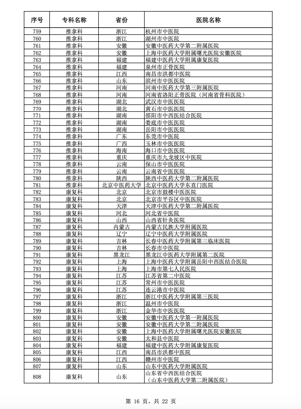
國家中醫優勢??平ㄔO單位公示名單






















國家中醫優勢??婆嘤龁挝还久麊?/span>



















